La química orgánica puede definirse como la química del carbono. El carbono puede formar enlaces simples, dobles y triples, tanto con otros átomos de C como con otros elementos.Grupos funcionales: son conjuntos de átomos que tienden a aparecer juntos en numerosas moléculas, tienen una nomenclatura y propiedades especiales y reaccionan en conjunto, como un todo.Los más importantes son:a) Hidrocarburos: CH3 – [CH2]n – CH3. Unión del C con el H para formar cadenas lineales o cíclicas, saturadas (sólo con enlaces simples) o insaturadas (con enlaces dobles o triples).Los saturados se llaman alcanos y sus radicales (formados por la pérdida de un H), alquilo (R).Metano: CH4 Metilo: - CH3Etano: CH3 – CH3Etilo: - CH2 – CH3b) Alcoholes: resultan de sustituir un H de un hidrocarburo por el grupo hidroxilo (-OH). Según la posición del hidroxilo los alcoholes pueden ser primarios (R - CH2OH), secundarios (R – CHOH – R’) y terciarios (R - CR’OH - R’’).c) Aldehídos: (R – CHO). Sustitución, en un C primario de un hidrocarburo, de 2 H por un O unido mediante doble enlace. Al grupo – C=O se le llama carbonilo (o aldehído).d) Cetonas: (R – CO – R’). Como los aldehídos, pero con el carbonilo en un carbono secundario.e) Ácidos carboxílicos u orgánicos: (R – COOH). Sustitución, en un C primario de un hidrocarburo, de 2 H por un O unido mediante doble enlace y el tercer H por un grupo hidroxilo (- OH). Al grupo -COOH se le llama carboxilo.f) Aminas: (R – NH2). Derivan del amoniaco (NH3) al que se sustituye un H por un radical alquilo.Existen otros muchos grupos funcionales: ésteres, amidas, tioles, anillos aromáticos (benceno), heterociclos,…Ejercicios:Indicar el tipo de compuesto y señalar los grupos funcionales:1. CH3-CH2-CH2OH2. CH2OH-CHOH-CHOH-CHOH-CH2OH3. CH3-CH2-CH2-COOH 4. COH-CHOH-CHOH-CHOH-CH2OH5. H2N-CH2-CH2-COOH 6. CH2OH-CO-CHOH-CHOH-CH2OH
2.2. HIDRATOS DE CARBONO, CARBOHIDRATOS O
GLÚCIDOS
Hidratos de carbono: el nombre deriva de su fórmula molecular (CH2O)n: el nombre es incorrecto, ya que al agua no aparece en la molécula. Otro nombre incorrecto es el de azúcares, que corresponde sólo a un tipo determinado de glúcidos.Glúcidos: actualmente se consideran como tales a los polihidroxialdehídos y polihidroxicetonas, sus derivados simples (aminas, ácidos, formas desoxigenadas, etc) y los productos que forman entre sí o con otros mediante enlaces.Clasificación: la clasificación es muy compleja, dada la enorme variedad de sustancias que abarcan los glúcidos. En general, se dividen en osas o monosacáridos y ósidos.2.2.1. Osas o monosacáridos Son moléculas sencillas, de 3 a 9 C. Son azúcares, es decir, dulces, solubles, cristalizables y no hidrolizables. Forman los monómeros de los demás glúcidos.A su vez, pueden ser aldosas (el grupo carbonilo es un aldehído), o cetosas (el grupo carbonilo es una cetona). Ambos se clasifican según el número de C (triosas, tetrosas, pentosas,…).2.2.2. ÓsidosEstán formados por la unión de monómeros mediante enlace O-glucosídico, con pérdida de una molécula de agua. Son hidrolizables. Pueden ser:Holósidos: formados sólo por glúcidos. Oligosacáridos (2 a 10 monómeros); polisacáridos (más de 10 monosacáridos). Los polisacáridos, a su vez, pueden ser homopolisacáridos (tienen un único monosacárido repetido) o heteropolisacáridos(monosacáridos distintos).Heterósidos o glucoconjugados: formados por glúcidos y sustancias no glucídicas: glucolípidos y glucoproteínas.
2.3. OSAS O MONOSACÁRIDOS
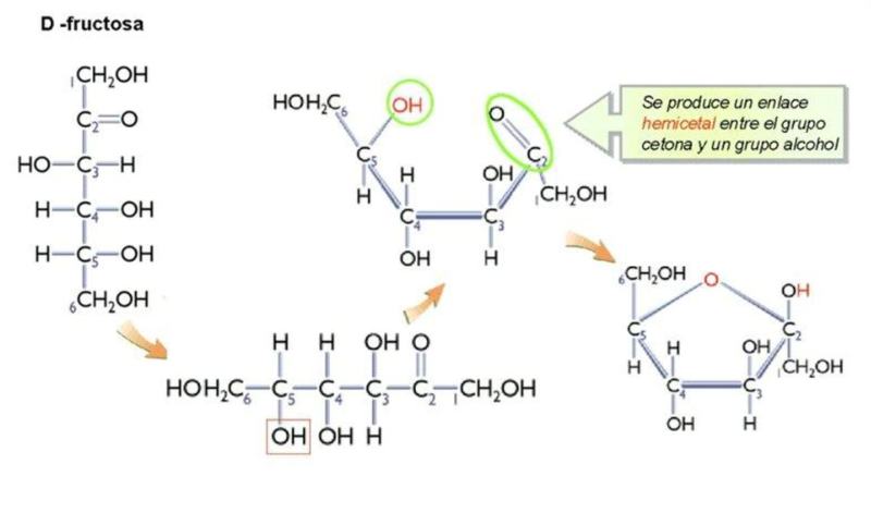
Son polihidroxialdehídos o polihidroxicetonas de 3 a 9 átomos de C. Fórmula (CH2O)n.Nomenclatura: se nombran con el prefijo aldo- (o ceto-) + número de C + -osa: aldotriosa, cetopentosa, aldohexosa… Muchos tienen nombres comunes: glucosa, fructosa, ribosa,…La representación más sencilla se denomina proyección de Fisher, que es plana. En ella, el carbonilo se sitúa en la parte superior, el alcohol primario en la inferior, y los grupos –OH e –H a derecha o izquierda. Los -H pueden omitirse para simplificar.2.3.1. Derivados de los monosacáridosNo se ajustan a la fórmula general, ya que presentan otros grupos funcionales (ácidos, aminas, ésteres,…).Desoxiazúcares: (tienen algún oxígeno menos): desoxirribosa (derivado de la ribosa, en el ADN); fucosa(derivado L de la galactosa, forma parte de glucoproteínas y glucolípidos (glicocálix); ramnosa (forma L hallada en pectinas y bacterias).Aminoazúcares: sustitución en hexosas del hidroxilo (-OH) de C2 por un grupo amino (-NH2). Destacan: la glucosamina y la N-acetil-glucosamina (quitina, péptidoglucano, ácido hialurónico, enfingosina); condroitina (cartílago); N-acetil-murámico (paredes bacterianas).Ácidos urónicos: proceden de la oxidación del alcohol primario de una hexosa a grupo ácido (-COOH). Destacan: ácido glucurónico y galacturónico, en gomas, mucílagos, pectinas, conjuntivo...2.3.2. Propiedades de los monosacáridosPropiedades físicas: sólidos, dulces, blancos, solubles, cristalinos, con isomería espacial y óptica.Propiedades químicas: el grupo carbonilo (aldehído o cetona) les da carácter reductor (reacción de Fehling +: reducen el ión cúprico (Cu2+) a cuproso(Cu+), oxidando el carbonilo (-CO-) a carboxílico (-COOH)). Además, les permite enlaces hemiacetálicos internos, enlaces glucosídicos con otras moléculas (polisacáridos) y enlaces éster (éster fosfórico).2.3.3. Triosas Son los monosacáridos más sencillos, con 3 átomos de C. Su fórmula molecular es C3H6O3. Existe sólo una cetotriosa, la dihidroxiacetona; y una aldotriosa, el gliceraldehído.Sin embargo, el gliceraldehído presenta un carbono asimétrico, es decir, con sus 4 valencias saturadas con radicales diferentes, debido a ello presenta isomería (espacial o estereoisomería y óptica). Los isómeros son moléculas con la misma composición y estructura pero con diferentes propiedades.Existen muchos tipos de isomerías, las más importantes son:Isomería espacial o estereoisomería: por cada C asimétrico existen 2 disposiciones espaciales no superponibles, imágenes especulares. Por ello al carbono asimétrico se le llama también átomo o centro quiral (de chiros, mano).En el caso del gliceraldehído, el carbono asimétrico es el siguiente al carbono carbonílico. Los isómeros que son imágenes especulares no superponibles se denominan enantiómerosy, por convenio, al enantiómero con el –OH del C asimétrico más alejado del carbono carbonílico a la derecha se le denomina D y al otro L. Así, existe un D-gliceraldehído y un L-gliceraldehído. En general, existen 2n estereoisómeros de un monosacárido, siendo n el número de carbonos asimétricos. En los seres vivos predominan los D.Isomería óptica: el carbono asimétrico proporciona otra propiedad a los azúcares, la de desviar la luz polarizada que atraviese una disolución de dicho azúcar. Si la luz se desvía a la derecha, el azúcar es dextrógiro o (+); si la desvía a la izquierda es levógiro o(-). Esta isomería es independiente de la espacial, así, para el gliceraldehído existen 4 isómeros: D (+), D (-), L (+) y L (-).2.3.4. TetrosasMonosacáridos con 4 C. Fórmula general: C4H8O4. Hay dos aldotetrosas: eritrosa y treosa y una cetotetrosa, la eritrulosa. La eritrulosa sólo tiene un C asimétrico y, por tanto, 2 enantiómeros (D y L). Sin embargo, las aldosas tienen 2 C asimétricos y 4 isómeros. A las formas que se diferencian sólo en la posición del –OH del C asimétrico más alejado del C carbonílico (enantiómeros entre sí) se les denomina D y L. El resto de estereoisómeros se diferencian por la posición del –OH en otros C asimétricos. Estos isómeros se denominan diasteroisómeros(siendo enantiómeros 2 a 2). Si la diferencia sólo se produce en un C asimétrico se llaman epímeros. Así, la D-eritrosa y la D-treosa son epímeros.2.3.5. PentosasMonosacáridos con 5 C. Fórmula general: C5H10O5. Las aldopentosastienen 3 C asimétricos y, por tanto, 23=8 estereoisómeros, 4 D y 4 L. Las cetopentosas 2 C asimétricos, 22=4 estereoisómeros. Las pentosas no se hallan libres en la naturaleza, sino formando polisacáridos y otros compuestos.Entre las aldopentosas destacan la ribosa y su derivado, la desoxirribosa(en nucleótidos, ATP, ácidos nucleicos); la arabinosa (en el polisacárido arabana, en gomas vegetales) y la xilosa (en el polisacárido xilana: madera, semillas duras de frutos, etc). Entre las cetopentosas destaca la ribulosa y la xilulosa que participan en la fotosíntesis.2.3.6. HexosasOsas de 6 C. Fórmula general: C6H12O6. Aldohexosas con 4 C asimétricos 24=16 estereoisómeros, 8 D y 8 L. Las cetohexosas tienen 3 C asimétricos 23=8 estereoisómeros, 4 D y 4 L. Sólo se estudiarán unas pocas, que son los azúcares más abundantes de la naturaleza y de mayor interés biológico.Ciclación mediante proyección de FisherLas hexosas (y las aldopentosas) en disolución no presentan estructura lineal, sino ciclada en anillos de 5 o 6 átomos (furanosas y piranosas, respectivamente).La ciclación se produce entre el C1 o C2 (del aldehído o la cetona respectivamente), con el grupo hidroxilo (-OH) del penúltimo carbono de la molécula. Se forma así un enlace hemiacetálico interno, un puente de oxígeno intramolecular entre ambos carbonos y el C1 o C2 se convierte en un nuevo C asimétrico denominado carbono anomérico, que lleva un grupo hidroxilo llamado –OH hemiacetálico, el cual mantiene el carácter reductor del monosacárido.Ciclación mediante proyección de HaworthPermite que todos los enlaces tengan longitudes similares y permite ver los anillos en perspectiva.En la proyección de Haworth se aprecia que el carbono anomérico da lugar a dos nuevos estereoisómeros, llamados anómeros. Si el –OH queda hacia abajo se llama anómero α y si queda hacia arriba, anómero β.Hexosas de interés biológicoGlucosa: es una aldosa (C6H12O6). Llamado también azúcar de uvay dextrosa (+). Abundante en vegetales (producto inicial de la fotosíntesis). En plantas puede hallarse libre (frutas, miel) o polimerizada, bien como reserva (almidón) o estructural (celulosa). Es el principal combustible celular (respiración). En animales se halla libre (en la sangre, glucemia); o polimerizada (glucógeno en hígado y músculo estriado).Galactosa: aldosa (C6H12O6). No suele aparecer libre, sino como parte del disacárido lactosa. Se halla en la leche y en polisacáridos complejos (gomas, mucílagos, pectinas) y en glucolípidos y glucoproteínas (glicocálix).Manosa: aldosa (C6H12O6). Libre en la corteza de algunos vegetales (naranjo) o formando parte de polisacáridos (manosanas) de bacterias, algas, hongos y algunos vegetales.Fructosa: cetohexosa (C6H12O6). Llamada también levulosa (-). Libre en frutas, miel y semen. Forma el disacárido sacarosa y ciertos polisacáridos.
2.4. ÓSIDOS. OLIGOSACÁRIDOS: DISACÁRIDOS
Moléculas de 2 a 10 monosacáridos. Los más importantes son los disacáridos (C12H22O11), formados por la unión de 2 monosacáridos unidos por enlace O-glucosídico. En el enlace se pierde una molécula de agua.El enlace O-glucosídico puede ser dicarbonílico (se forma entre el –OH hemiacetálico (el del C anomérico) del primer monosacárido y el –OH hemiacetálico del otro); omonocarbonílico (entre el -OH hemiacetálico y otro –OH). Los disacáridos con enlaces dicarbonílicos pierden el poder reductor.Los principales disacáridos son:Lactosa: azúcar de la leche. Unión del C1 de la β-D-galactosa con el C4 de la α-D-glucosa o la β-D-glucosa, dando β-D-galactosa (1,4) α (o β)-D-glucosa. Es un enlace monocarbonílico, sólo interviene un –OH hemiacetálico. El otro queda libre y, por tanto, tiene carácter reductor. La intolerancia a la lactosa la padecen personas sin lactasa, enzima que hidroliza el enlace β (1,4). (El kefirán, polisacárido desprendido por el kéfir, también está formado por glucosa y galactosa).Sacarosa: sucrosa, azúcar de caña o de remolacha. Unión del C1(carbonílico) de la α-D-glucosa y el C2 (carbonílico) de la β-D-fructosa: α-D-glucosa (1,2) β-D-fructosa. Es un enlace dicarbonílico, no reductor.Celobiosa: procede de la hidrólisis de la celulosa. Es la β-D-glucosa (1,4) β-D-glucosa. Una glucosa está invertida respecto a la otra, lo que hace difícil hidrolizar el enlace β (1,4), por ello es indigerible por la mayoría de animales.Maltosa: obtenida por hidrólisis del almidón. La cebada germinada y tostada produce malta, con enzimas hidrolíticos del almidón, usada para elaborar cerveza y como sucedáneo del café. Es α-D-glucosa (1,4) α-D-glucosa, fácil de hidrolizar.Isomaltosa: por hidrólisis de los puntos de ramificación de almidón y glucógeno. Similar a la maltosa, pero con enlaces α (1,6).
2.5 ÓSIDOS. POLISACÁRIDOS
Son macromoléculas de monosacáridos o sus derivados unidos por enlaces O-glucosídicos. Son los glúcidos (y las biomoléculas) más abundantes. Tienen funciones de reserva energética(almidón y glucógeno); estructural (quitina, celulosa) y reguladora (glucolípidos y glucoproteínas: glicocálix).Por su enorme tamaño son prácticamente insolubles, pero sus numerosos grupos hidroxilos les permite retener y absorber agua. No son reductores, pues los –OH hemiacetálicos están ocupados en los enlaces O-glucosídicos.2.5.1. HomopolisacáridosFormados por la repetición de un único monosacárido. Lineales o ramificados.Pueden ser:Pentosanas: formadas por pentosas: xilanas y arabanas.Hexosanas: formadas por hexosas: celulosa, quitina, almidón y glucógeno.Celulosa: polímero lineal de β-D-glucosas unidas por enlaces β (1-4), la unidad repetida es la celobiosa. Las β-D-glucosas establecen puentes de H intracatenarios. Además, se forman puentes de H intercatenarios, por lo que se forman haces de cadenas. Como consecuencia, la celulosa tiene una estructura muy densa, lo que la hace muy insoluble, difícil de hidrolizar, casi inerte y resistente. Por ello tiene función estructural. Es la biomolécula más abundante de la naturaleza. Se halla en paredes celulares de células vegetales: madera (papel); textil (algodón, lino); farmacia;…Quitina: polímero de N- acetil-β-D-glucosamina, con enlaces β (1-4). Por ello es también lineal, insoluble y muy resistente. Es el segundo polisacárido más abundante, formando parte de la pared celular de hongos y el exoesqueleto de artrópodos.Almidón: polímero ramificado de α-D-glucosa. Principal polisacárido de reserva en vegetales. Se almacena en gránulos dentro de los amiloplastos.Abundante en tubérculos (patata), bulbos (cebolla), rizomas (helechos) y endospermo de semillas (cereales y legumbres). Se hidroliza mediante amilasas y maltasas, que originan maltosa y glucosa respectivamente. Principal componente de harinas, es la base de la alimentación humana.Al ser insoluble, su almacenamiento en amiloplastos no causa problemas osmóticos.Aunque se considera un polímero de α-D-glucosa, en realidad está formado por dos polímeros diferentes: amilosa y amilopectina.Amilosa: polímero lineal de α-D-glucosas unidas por enlaces α (1-4) (maltosas). Las glucosas unidas forman ángulo entre sí y cada 6 moléculas se produce una vuelta de hélice, por lo que la amilosa tiene estructura helicoidal. Esta estructura permite identificarla con lugol, colorante azul a base de iodo. El ión triyoduro (I3-) encaja justo en una vuelta de la espiral.Amilopectina: polímero ramificado con cadenas helicoidales de α-D-glucosas unidas por enlaces α (1-4), pero con ramificaciones mediante enlaces α (1-6). Presenta una ramificación cada 15 ó 30 monómeros de glucosa, por ello, de su hidrólisis se obtienen maltosas e isomaltosas. Menos soluble que la amilosa, se tiñe de rojo violáceo con el lugol.Glucógeno: polímero de α-D-glucosa muy similar a la amilopectina, pero más ramificado, con una ramificación cada 8 ó 10 glucosas. Polímero de reserva en animales. Abunda en hígado y músculo estriado.2.5.2. HeteropolisacáridosPolisacáridos formados por dos o más monosacáridos (o derivados) diferentes.Los más importantes son:Hemicelulosas, pectinas, agar-agar, gomas, mucílagos, peptidoglucanos (pared bacteriana), … Estructura y defensa en plantas y algas.Ácido hialurónico y condroitina (forman los glucosaminoglucanos o mucopolisacáridos, que se unen a proteínas y forman mucinas animales o proteoglucanos).Heparina: impide la coagulación de la sangre.
2.6. GLUCOCONJUGADOS
Compuestos formados por una parte glucídica (glucano) unida covalentemente a otra lipídica (glucolípidos) o proteica (glucoproteínas). Tienen funciones de sostén y protección (mucinas en mucus, peptidoglucanos en paredes bacterianas), pero también de señalización en las membranas celulares (glicocálix).
Para ir a donde no se sabe hay que ir por donde no se sabe.” San Juan de la Cruz“It must be a strange world not being a scientist, going through life not knowing--or maybe not caring about where the air came from, where the stars at night came from or how far they are from us. I WANT TO KNOW” Michio Kaku“Nullius in verba” Robert Boyle, Christopher Wren y Robert Hooke
TalidomidaEn 1957 comenzó a comercializarse el medicamento talidomida para combatir las náuseas en embarazadas. La talidomida causó el nacimiento de miles de bebés con deformaciones o muertes. Se descubrió que esta molécula presentaba dos formas isoméricas: la R (curativa) y la S (dañina). La talidomida fue prohibida, pero a partir de 1998 empezó a usarse para tratar la lepra. En 2018 se descubrió, por fin, el por qué de las deformaciones: la talidomida degrada factores de transcripción del ADN: https://buff.ly/2NYMav2La metanfetamina, una sustancia usada como droga psicoestimulante, también presenta dos formas isoméricas. La R es una droga alucinógena; la S es vasodilatadora y se usa contra el asma, por ejemplo.
Los espejos y la cópula son abominables, porque multiplican el número de los hombres.― Jorge Luis Borges, Ficciones
FluorodesoxiglucosaLa fluorodesoxiglucosa (2-fluoro-2-desoxi-D-glucosa, FDG) es un análogo de la glucosa y se incorpora en células con gran consumo de glucosa (cerebro, riñón, células cancerígenas, …).El flúor de la FDG puede convertirse en flúor-18, un isótopo radiactivo emisor de positrones. El oxígeno del C2 es necesario para la glucólisis, por lo que la FDG no puede ser metabolizada antes de que decaiga la radiactividad y el 18F se convierta en 18O y la FDG se convierta en glucosa-6-P, ya metabolizable.Por ello, es muy utilizada en el diagnóstico médico por imagen, concretamente en la modalidad de tomografía por emisión de positrones (TEP).Quora